主页(http://www.pttcn.net):LTE基础:戏谈LTE调度算法 从小就喜欢听老人们讲村里的故事,从他们的口中我明白了过去岁月里的许多事情,其中就包括以前村里地主和农民还有土地分配制度。地主,在人类的历史长河里,一直都是富裕者和强势者。可在中国就有那么一段刚刚过去的历史,地主们在这段时光里成了真正的社会底层。不,严格地讲他们已经不再是地主,或者说他们曾经是地主。他们的土地早就被全部剥夺,社会地位也被新的统治者踩在了脚下。我们试着了解一番他们的土地被剥夺之后的分配制度,跟我们的LTE调度算法有什么相似之处吗?
甲村有着比较明显的地域特点,村东基本都是富户地主,地主主掌着全村80%以上的财富,村东有一“公”姓人家,其老爷爷曾是家道殷实的地主,不仅拥有百亩良田,而且家中开有专门榨油的油坊,过着富饶的生活。而甲村西则是另一番荒凉落魄的景象,每家的田地占有率还不够每家每户每年的口粮,村西东每天倒掉的剩菜剩饭都比村西人的伙食好上百倍,或甚至连村东的牲口吃的都比村西人吃的好,常年时有饿死人的惨况出现。
乙村人看甲村人的情况如此不公平,便集结全村人抵制打压地主,从地主手里抢回土地,采取了绝对公平的农耕地分配原则,全村人各家各户不论人多人少统统分配三亩地,结果乙村人家虽然没有像甲村那样出现明显的两极分化,没有饿死现象发生,但是也没有富足的人家,有些人家家里人多也会因为耕地太少而出现口粮吃紧的状况,然而有些人家因为人手不够导致所分配的耕地并不能很好地利用而荒废。
邻村丙村吸取了甲乙两村的教训,地主的土地被划分了一部分出来给穷苦人家,但是还是优先地主家选择土地所有权,给穷苦人家相对应的土地补贴,家里人少的家庭则不再分配太多的耕地以免资源浪费,保证家里人少的人家有田耕有饭吃。丙村地主虽然没有甲村的地主富足,但是也没有出现乙村耕地荒废的资源浪费的现象,穷苦人家也逐渐能过上小康生活,而且不会出现同村人饿死的现象。 LTE中基站为扇区内的用户提供服务也有不同的算法,最大载干比算法采用的就是甲村的做法,大部分资源由少部分“地主”占有;轮询算法采用的就是乙村的做法,所有资源大家公平分配;正比公平算法采用的就是丙村的做法,优先部分人员,照顾大部分人的相对公平的资源分配方案。下面我们来看下具体基站在资源调度时是如何做的吧。 轮询算法(Round Robin) 轮询调度算法就是基站轮流地为扇区内的用户提供服务。轮询调度算法循环地调度系统中的所有用户,即从调度概率上讲,每个用户占用服务资源的概率相同。其主要思想是:以牺牲吞吐量为代价,公平地为系统内的每个用户提供资源。从占用资源的角度来讲,轮询调度算法是最公平的,不仅可以保证用户的短期公平性,也可以保证用户的长期公平性。由于每次调度都不考虑以前被调度的情况,所以轮询调度算法是无记忆的。轮询调度算法有着很大的缺陷,由于没有考虑用户信道状况的不同,其传输的可靠性不高,会导致系统的吞吐量较低,频谱效率不高。轮询调度算法是公平性的上界以及吞吐量的下界。 最大载干比调度算法(Max TP) 最大载干比调度算法在选择被调度用户时,只选择载干比最大的用户,即让信道状况最好的用户占用资源传输数据,因而能够适应无线信道的时变特性,充分利用多用户分集的效果。当该用户信道条件变差之后,eNode B重新选择其他信道条件最好的用户,eNode B始终为当前时刻信道条件最好的用户服务。 最大载干比调度算法的优先级计算公式为:
(1) 最大载干比调度算法获取的吞吐量是系统吞吐量的极限值,但完全没有考虑用户间的公平性要求,只照顾了离eNode B近、信道条件好的用户,而离eNode B较远、信道条件差的用户得到服务的机会将很少,甚至会出现所谓的“饿死”现象。从占用资源角度来讲,最大载干比调度算法是最不公平的。最大载干比算法是吞吐量的上界以及公平性的下界。 正比公平算法(PF,Proportional Fair) 正比公平调度算法的优先级计算公式为:
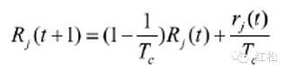
(2) 上式中rj(t)为当前时刻用户j的瞬时速率,由用户j的信道状态信息决定;Rj(t)为用户j在时间窗Tc内的平均速率。用户j的平均传输速率的更新公式为:
(3) Tc表示时间滑窗的大小。时间窗的大小反映了用户对得不到数据传输机会的忍受能力,较大的Tc表示用户能等待较长的时间直到其信道质量变好,这有利于提升系统的吞吐量,但有可能带来附加时延。 当采用比例公平算法时,随着信道条件好的用户所获传输机会的增多,其平均传输速率提高,根据式(2)、(3)可知其优先级降低,这就使得原来信道条件不好、优先级低的用户获得传输机会,从而保证了用户间的公平性。同时比例公平算法利用了多变的信道状况,达到了维持较高吞吐量的效果。
(中国集群通信网 | 责任编辑:陈晓亮) |




